English
全部
搜索
图片
视频
短视频
地图
资讯
更多
购物
航班
旅游
笔记本
报告不当内容
请选择下列任一选项。
无关
低俗内容
成人
儿童性侵犯
时长
全部
短(小于 5 分钟)
中(5-20 分钟)
长(大于 20 分钟)
日期
全部
过去 24 小时
过去一周
过去一个月
去年
清晰度
全部
低于 360p
360p 或更高
480p 或更高
720p 或更高
1080p 或更高
源
全部
Dailymotion
Vimeo
Metacafe
Hulu
VEVO
Myspace
MTV
CBS
Fox
CNN
MSN
价格
全部
免费
付费
清除筛选条件
安全搜索:
中等
严格
中等(默认)
关闭
筛选器
askfilo.com
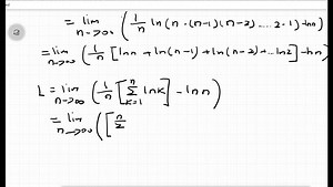
(a) Use a computer algebra system to evaluate the following int... | Filo
(a) Use a computer algebra system to evaluate the following int... | Filo
9 个月之前
IPhone Vs Android
0:19
iPhone Vs Android - Which Works Better?
YouTube
TechSimplify
已浏览 60.8万 次
7 个月之前
0:22
Suggested accounts
TikTok
samsung_galaxy_01
已浏览 550万 次
2025年1月13日
1:33
iPhone vs Android in 2025 - Choose Wisely 🫣😱
YouTube
Tech Buffet
已浏览 55万 次
5 个月之前
热门视频
SOLVED:Verify the given result as follows: Use a computer algebra system first to set up the appropriate Riemann sum, then to simplify the sum, and finally to evaluate its limit as n → ∞∫a^b sinx d x=cosa-cosb.
numerade.com
3 个月之前
4.2 Solving Systems Algebraically
flippedmath.com
2021年2月8日
(a) The curve with equation 2 y^3 y^2-y^5=x^4-2 x^3 x^2 has been likened to a bouncing wagon. Use a computer algebra system to graph this curve and discover why. (b) At how many points does this curve have horizontal tangent lines? Find the x -coordinates of these points. | Numerade
numerade.com
2020年5月12日
Coke Vs Pepsi
42:49
Documentary: The Cola Wars (Pepsi vs Coca-Cola)
YouTube
History + Documentary
已浏览 3099 次
2025年1月20日
4:40
Coke (Coca Cola) vs Pepsi - Soda Comparison
YouTube
The Infographics Show
已浏览 88.2万 次
2017年4月3日
8:20
Coke vs. Pepsi: The Ultimate Cola Rivalry
YouTube
History of Simple Things
已浏览 1.1万 次
5 个月之前
SOLVED:Verify the given result as follows: Use a computer algebra s
…
3 个月之前
numerade.com
4.2 Solving Systems Algebraically
2021年2月8日
flippedmath.com
(a) The curve with equation 2 y^3 y^2-y^5=x^4-2 x^3 x^2 has been li
…
2020年5月12日
numerade.com
Understanding Mathematics for Computer Science
已浏览 2.2万 次
2023年8月30日
YouTube
The Math Sorcerer
What is...computer algebra?
已浏览 1155 次
2024年9月28日
YouTube
VisualMath
Calculus 7.6 Integration Using Tables and Computer Algebra Sys
…
已浏览 4194 次
2020年9月14日
YouTube
Asher Roberts
0:35
SMP Meaning
已浏览 1.1万 次
2015年4月25日
YouTube
ADictionary
6:43:46
College Algebra - Full Course
已浏览 485.4万 次
2020年7月24日
YouTube
freeCodeCamp.org
7:28
Understanding Logic Gates
已浏览 118.9万 次
2020年6月15日
YouTube
Spanning Tree
6:31
Math Antics - Comparing Fractions
已浏览 292.4万 次
2012年4月17日
YouTube
mathantics
17:23
Propositional Logic − Logical Equivalences
已浏览 106.3万 次
2018年5月19日
YouTube
Neso Academy
9:57
Why is Linear Algebra Useful?
已浏览 16.4万 次
2019年4月9日
YouTube
365 Data Science
4:41
Introduction to Boolean Algebra & Digital Systems & Circuits
已浏览 66.1万 次
2016年6月15日
YouTube
Simple Snippets
19:20
Simultaneous Equations Math Lesson
已浏览 261.8万 次
2013年3月1日
YouTube
tecmath
5:59
How Computers Work: Binary & Data
已浏览 142.1万 次
2018年1月30日
YouTube
Code.org
5:31
Systems of Linear Equations - Comparison Method - MrEMathVid
…
已浏览 4.7万 次
2011年10月31日
YouTube
Don Estabrook
6:16
Comparison between Combinational and Sequential Circuits
已浏览 112.1万 次
2014年10月18日
YouTube
Neso Academy
13:53
12 Alternative Operating Systems You Can Use Today
已浏览 122.7万 次
2020年1月9日
YouTube
Dan Wood
5:10
Independent and dependent systems | Algebra II | Khan Academy
已浏览 20.4万 次
2011年3月8日
YouTube
Khan Academy
9:28
1.10.1 Comparison of Functions #1
已浏览 58.7万 次
2018年1月19日
YouTube
Abdul Bari
4:55
Boolean Algebra Basics and Example Problem
已浏览 36.8万 次
2017年11月4日
YouTube
Tangerine Code
10:21
Compare Linear Functions: Tables, Graphs and Equations
已浏览 4.2万 次
2020年7月7日
YouTube
Sheaff Math
1:16:21
College Algebra Introduction Review - Basic Overview, Study Guide, E
…
已浏览 213万 次
2017年1月8日
YouTube
The Organic Chemistry Tutor
54:05
Lec 1 | MIT 18.085 Computational Science and Engineering I, Fall 2008
已浏览 43.9万 次
2009年2月25日
YouTube
MIT OpenCourseWare
9:21
Solving linear systems by substitution | Algebra Basics | Kh
…
已浏览 190万 次
2010年4月8日
YouTube
Khan Academy
6:46
Algebraic Equations With Variables on Both Sides
已浏览 16.1万 次
2017年9月5日
YouTube
Professor Dave Explains
3:10
Comparing Integers | How to Compare Positive and Negative Int
…
已浏览 27.1万 次
2020年1月26日
YouTube
Math with Mr. J
9:24
Linear Algebra for Computer Scientists. 14. 3D Transformation
…
已浏览 5.4万 次
2021年8月16日
YouTube
Computer Science Lessons
10:46
Introduction to Linear Algebra: Systems of Linear Equations
已浏览 54.7万 次
2018年9月19日
YouTube
Professor Dave Explains
观看更多视频
更多类似内容
反馈